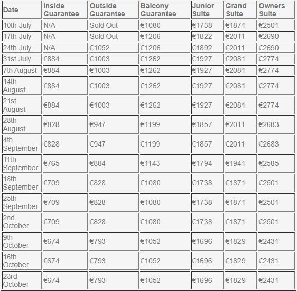
«Жемчужина морей» с 2 702 пассажирами отправится из Лимассола с 10 июля в семидневные круизы с ценой за каюту от 674 до 2 774 евро на человека.
Заказы открываются в среду, и судно – до 23 октября – будет заходить в Афины и греческие острова Родос, Крит, Миконос и Санторини.
Пассажиры должны будут пройти вакцинацию против Covid, а лицам младше 18 лет необходим отрицательный результат теста. Все сотрудники будут вакцинированы.
Jewel of the Seas, строительство которого было завершено весной 2004 года, в апреле 2016 года было отремонтировано на миллионы долларов.
Цены на каюты:

